Nano tungsten trioxide may be applied for manufacturing thermal insulation film. And the photochromic properties of WO3 can be measured using UV-vis spectrometer (BaSO4 as baseline correction) and automatic color difference meter.
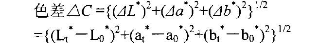
First, put WO3 into the dark box type ultraviolet analyzer, and the color difference value of the sample was tested at room temperature for a period of time after the light was irradiated. Then, the sample was subjected to the reflection experiment using fully automatic colorimeter, and the color of the sample before and after the UV lamp irradiation was characterized. The experiment uses CIELab's uniform color space color system to first determine the tristimulus values needed to match the chromaticity of the color to be measured, and then calculate the three-dimensional rectangular coordinates L*, a* and b*. Any point in space represents a color, and the geometric distance between two points represents the color difference between the two colors, where L* refers to the lightness index of the sample, a* and b* refer to the chromaticity index of the sample. The color difference before and after discoloration is calculated based on the color difference formula as follows:
The color difference of the synthesized powder before and after light irradiation was characterized by ΔC. In other words, the degree of discoloration after the light irradiation of the powder was characterized by the value of the color difference. The larger the ΔC, the greater the color change before and after UV irradiation, i.e., the better the photochromic performance.
More details, please visit:
http://www.tungsten-powder.com/Tungsten-Trioxide.html